5.0 Einführung
Introduction
Wie bleibt ein Flugzeug in der Luft, warum heißt es fliegen?
Anders als Ballon und Luftschiff, die unter Ausnutzung des aerostatischen Auftriebs quasi in der Luft "schwimmen", ist ein Flugzeug schwerer als Luft.
Dass strömende Luft Kräfte erzeugen kann merkst du, wenn der Wind Sonnenschirme umweht oder Bäume entwurzelt, spürt dies aber auch, wenn du die Hand aus dem Fenster eines fahrenden Autos hältst.
Diese Beispiele zeigen, dass es für das Zustandekommen einer Luftkraft gleichgültig ist, ob Luft einen ruhenden Körper umströmt, oder ob sich ein Körper in ruhender Luft bewegt. Entscheidend ist nur die Relativbewegung zwischen umströmtem Körper und der Luft.
Solange sich ein Flugzeug mit ausreichender Geschwindigkeit durch die Luft bewegt, so dass eine Luftkraft gleich groß dem Gewicht entstehen kann, ist es flugfähig.
Genau darum geht es in diesem Fach – um die Bewegungen des Flugzeugs und um die Kräfte, die dabei wirken.
Das Fach Grundlagen des Fliegens hat die EASA in acht Kapitel unterteilt. Diese Einteilung wird auch hier beibehalten. Es geht um zwei wichtige Bereiche:
- Die Aerodynamik (Strömungslehre) – siehe Kapitel 5.1 – beschreibt die Kräfte und Momente infolge der strömenden Luft. Dabei interessieren uns besonders Auftrieb und Widerstand. Außerdem behandeln wir den Propeller (5.8).
- Die Flugmechanik beschreibt die Bewegungen des Segelflugzeugs unter dem Einfluss der oben genannten Kräfte. Die Flugmechanik gliedert sich in die beiden Bereiche Flugleistungen (siehe 5.2) und Flugeigenschaften. Bei den Flugleistungen geht es um die Bewegung des Flugzeugschwerpunkts, insbesondere in den verschiedenen Flugzuständen wie Gleitflug oder Kurvenflug. Bei den Flugeigenschaften geht es um die Bewegungen des Flugzeugs um den Flugzeugschwerpunkt. Dahinter verbergen sich Steuerbarkeit (5.3) und Stabilität (5.4), also die Frage, wie und wie leicht ein Flugzeug vom Piloten geführt werden kann. Auch Trudeln (5.6) und der Spiralsturz (5.7) gehören dazu.
Schließlich hat die EASA hier noch das Kapitel über Betriebsgrenzen (5.5) vorgesehen, das für deine Sicherheit besonders wichtig ist.
Damit nicht alles immer nur trockene Theorie bleibt, werden viele Themen durch Beispiele ergänzt. Häufig beziehen sie sich auf die ASK 21 – du hast sie vielleicht schon in Abb. 5.0.1 (Kräfte am Flugzeug) erkannt.
Die ASK 21 ist heute der verbreitetste Schuldoppelsitzer. Wenn in deinem Verein ein anderer Doppelsitzer für die Schulung verwendet wird, schadet das nichts. Wenn du das jeweilige Beispiel auf euren Typ überträgst, lernst du sogar noch etwas dazu.
Auch ein Einsitzer wäre dafür nützlich. Astir, LS 4, Ka 8, Discus … – das sind beliebte Übungsflugzeuge, die in den Ausbildungsbetrieben eingesetzt werden.
Bevor wir mit der Aerodynamik anfangen, müssen wir uns erst noch mit ein paar Grundlagen beschäftigen. Vielleicht sind sie dir aus dem Physikunterricht noch bekannt – dann scrolle einfach darüber hinweg!
Wir werden uns bemühen mit möglichst wenig Mathematik auszukommen. Ganz ohne geht es aber nicht, ein paar Formeln hält sogar die EASA für wichtig. Damit du den Überblick behältst, sind hier die verwendeten Bezeichnungen und Formelzeichen zusammengestellt. Sieh hier nach, wenn du dir nicht sicher bist!
Wenn du selbst rechnen möchtest, musst du darauf achten, dass du nur die Einheiten des SI-Systems benutzt, hier also Meter, Kilogramm und Sekunde. Andernfalls stimmt das Ergebnis nicht.
Aus den Basiseinheiten abgeleitete Einheiten sind natürlich auch o.k. Dies wären hier Newton (1 N = 1 kg · m / s²) und Pascal (1 Pa = 1 kg / m / s²).
Ähnlich ist es bei Winkeln. Sie müssen in Formeln im Bogenmaß rad (Radiant) eingesetzt werden (1 rad = 1 m/m = 1). Da Winkel meist in ° (Grad) angegeben werden, müsstest du so umrechnen: 1° = p / 180 rad.
Wenn unter Einheit eine 1 steht, dann hat diese Größe keine spezielle Einheit. Man sagt auch, sie sei „dimensionslos“| Formelzeichen | Einheit | Bezeichnung |
| a | m | Abstand, Hebelarm |
| A | m² | (Querschnitts-) Fläche |
| A | N | Auftrieb |
| b | m | Spannweite |
| ca | 1 | örtlicher (Profil-) Auftriebsbeiwert |
| cA | 1 | Gesamt- (Flugzeug-) Auftriebsbeiwert |
| ca,max | 1 | Höchstauftriebsbeiwert |
| cw | 1 | örtlicher (Profil-) Widerstandsbeiwert |
| cW | 1 | Gesamt- (Flugzeug-) Widerstandsbeiwert |
| cw,min | 1 | Mindestwiderstandsbeiwert |
| F | N | Kraft |
| G | N | Gewicht |
| H | N | Handkraft |
| L | N | Luftkraft |
| l | m | Länge, (Profil-) Tiefe |
| lm | m | mittlere Flügeltiefe |
| m | kg | Masse |
| M | N·m | Moment |
| p | Pa | (Luft-) Druck |
| p∞ | Pa | statischer Druck weit vor dem Flügel |
| pges | Pa | Gesamtdruck |
| q | Pa | Staudruck |
| q∞ | Pa | Staudruck weit vor dem Flügel |
| R | N | Resultierende (Kraft), Reaktionskraft |
| Re | 1 | Reynoldszahl |
| S | N | Schubkraft des Propellers, Seilkraft |
| S | m2 | Flügelfläche |
| u | m/s | (örtliche) Geschwindigkeit |
| V | m/s | Geschwindigkeit |
| V∞ | m/s | Anströmgeschwindigkeit weit vor dem Flügel |
| Vö | m/s | örtliche Geschwindigkeit |
| W | N | Widerstand |
| Wi | N | induzierter Widerstand |
| wi | m/s | Abwärtsgeschwindigkeit |
| α | rad | Anstellwinkel |
| α0 | rad |
Nullanstellwinkel |
| αe | rad | effektiver Anstellwinkel |
| αg | rad | geometrischer Anstellwinkel |
| αi | rad | induzierter Anstellwinkel |
| Λ | 1 | Flügelstreckung (Lambda) |
| ρ | kg/m³ | (Luft-) Dichte (Rho) |
| ν | m²/s | kinematische Zähigkeit (Ny) |
| η | Pa·s | dynamische Zähigkeit (Eta) |
| ρ0 | Pa | Luftdruck in Meereshöhe |
| Δ | vorgesetztes Zeichen für Differenz |
xx
- 5.0.1 Einheiten und ihre Umrechnung
- 5.0.2 Kräfte
- 5.0.3 Momente
- 5.0.4 Newtonsche Gesetze
- 5.0.5 Physikalische Eigenschaften der Atmosphäre
- 5.0.6 Aufbau eines Segelflugzeugs
5.0.1 Einheiten und ihre Umrechnung
Wichtige Zahlenangaben in der Luftfahrt
Wenn du eine Größe angeben möchtest, kommst du in den seltensten Fällen an einer Zahlenangabe vorbei.
„Wieviel Geld hast du in der Tasche?“ – „Viel“ – „Ja, wie viel?“ – „Fast 200.“ – „200 was?“ – „Na, Dollar natürlich.“
Hier sieht man: Eine Zahlenangabe allein reicht nicht aus, man muss auch die Einheit dazu sagen.
Im täglichen Leben haben wir es manchmal noch mit veralteten Einheiten zu tun, z.B. „Pfund“ oder „Kilopond“. Dies ist ganz besonders in den USA festzustellen, wo sich das metrische System in weiten Bereichen nicht gegen das angloamerikanische durchsetzen konnte – auch nicht in der Luftfahrt. Da die USA für die internationale Luftfahrt prägend waren und sind, kommen wir nicht umhin, uns auch mit dem angelsächsischen Maßsystem vertraut zu machen. Hier die wichtigsten Einheiten:
|
|
Metrisches System
|
Angloamerikanisches System
|
|
Länge
|
Meter (m)
1 m = 3,28 ft
|
Fuß (ft)
1 ft = 0,30 m
|
|
Kilometer (km)
1 km = 0,54 NM
|
Nautische Meile (NM) („Seemeile“)
1 NM = 1,852 km
|
|
|
Kilometer (km)
1 km = 0,65 ML
|
Englische Meile (ML)
1 ML = 1,61 km
|
|
|
Geschwindigkeit
|
Meter pro Sekunde (m/s)
1 m/s = 196,9 ft/min
|
Fuß pro Minute
100 ft/min = 0,51 m/s
|
|
Kilometer pro Stunde (km/h)
1 km/h = 0,54 kt
|
Knoten (kt) (Seemeilen pro Stunde)
1 kt = 1,852 km/h
|
|
|
Masse
|
Kilogramm (kg)
1 kg = 2,20 lb
|
Englisches Pfund (lb)
1 lb = 0,45 kg
|
|
Druck
|
Hektopascal (hPa)
1000 hPa = 29,53 inHG
|
Inch of Mercury (inHG)
1 inHG = 33,86 hPa
|
|
Temperatur
|
Grad Celsius (°C)
°C = (°F – 32) · 0,556
|
Grad Fahrenheit (°F)
°F = °C · 1,80 + 32,00
|
Glücklicherweise findest du in (deutschen) Segelflugzeugen fast nur Instrumente mit einer Skala im metrischen System. Viele Motorflugzeuge sind ausschließlich „angloamerikanisch“ instrumentiert. In Reisemotorseglern gibt es häufig ein Durcheinander. Damit musst du klarkommen.
Zwei Beispiele:
Du erhältst per Funk ein QNH von 1016 hPa. Dein Höhenmesser hat aber eine Nebenskala, die in Inches of Mercury geeicht ist. Welchen Wert in inHG musst du einstellen?
- Es muss 1016 hPa · 29,53 = 30,0 inHG eingestellt werden.
In einem englischsprachigen Flughandbuch steht, die maximale Flächenbelastung sei 8,2 lb/sq ft. Was wäre das in kg/m²?
- Die maximale Flächenbelastung ist 8,2 · 0,45 kg / (0,3 m)² = 41,0 kg/m².
Solche Rechnereien im Flugzeug durchzuführen, das geht natürlich nicht. Deswegen gibt es für die wichtigsten Umrechnungen einfache Faustformeln, z.B. Knoten x 2 – 10% ergibt km/h.
Das brauchst du dir aber nicht unbedingt merken. Im Luftfahrthandbuch AIP gibt es Umrechnungstabellen, die du entsprechend deiner Instrumentierung auf das Kniebrett klemmst. Auch dein Smartphone ist bestens geeignet – wenn es Netzempfang hat oder eine App, die es auch offline kann.
5.0.2 Kräfte
Ein bisschen Physik, das Kräfteparallelogramm
Eine Kraft hat immer eine Größe und eine Richtung, sie ist ein Vektor, also eine gerichtete Größe. Kräfte werden in Bildern mit Pfeilen dargestellt, so wie in Abb. 5.0.1 (Button
drücken) das Gewicht und die Luftkraft. Die Länge des Pfeils gibt die Größe der Kraft an, die Orientierung des Pfeils gibt die Richtung an, in der die Kraft wirkt. Die Lage des Pfeils bestimmt die Wirkungslinie der Kraft.
Oft spricht man vom Angriffspunkt einer Kraft. Das nicht ganz korrekt. Eigentlich müsste man sagen, die Wirkungslinie der Kraft geht durch diesen Punkt.
Sieh dir nochmal Abb. 5.0.1 Kräfte am Flugzeug (Button
drücken) an! Der Luftkraftvektor und der Gewichtsvektor liegen auf der gleichen Wirkungslinie, sind gleich groß, aber entgegengesetzt gerichtet. Addierst du die beiden, so ist das Ergebnis Null.
Was aber, wenn sie nicht auf einer Wirkungslinie liegen? Dann hast du zwei Möglichkeiten.
- Du verschiebst die Kraftvektoren auf ihren Wirkungslinien so, dass das Ende von F2 auf der Spitze von F1 Durch Verbinden des Endes von F1 mit der Spitze von F2 erhältst du die Kraft F, die die gleiche Wirkung hat, wie F1 und F2 zusammen.
- Du verschiebst die Kraftvektoren auf ihren Wirkungslinien so, dass beide Enden aufeinander liegen. Mit den beiden Kraftvektoren bildest du ein Parallelogramm. Der resultierende Kraftvektor F ergibt sich aus der Diagonalen des Diagramms.
Genauso machen wir es nun mit der Luftkraft und zerlegen sie in zwei Komponenten. Die eine soll parallel zur Anströmrichtung der Luft ausgerichtet sein, die andere senkrecht dazu, wie in Abb. 5.0.2.5 (Zerlegung eines Luftkraftvektors) zu sehen. Auf diese Weise erhalten wir die beiden Komponenten der Luftkraft, die Auftriebskraft A und die Widerstandskraft W.
Diese Aufteilung hat sich in der Aerodynamik sehr bewährt und ist allgemein üblich.
Also merke dir:
- Der Widerstand wirkt in Richtung der anströmenden Luft,
- der Auftrieb quer zur Anströmrichtung.
5.0.3 Momente
Rotationswirkung einer Kraft auf einen Körper um einen festen Punkt oder eine Achse
In Abb. 5.0.3.1 (Moment einer Querkraft) wird am Griff des Schraubenschlüssels die Kraft F aufgebracht. Sie ruft am Schraubenkopf SK erst einmal die Gegenkraft R hervor. Das Kräftepaar F und R (gleich groß, entgegengesetzt gerichtet) mit dem Abstand a ruft eine Drehwirkung am Schraubenkopf SK hervor, die wir (Dreh-) Moment nennen. Die Einheit eines Moments ist 1 Nm. Die Größe des Moments ergibt sich aus Kraft F mal Hebelarm a.
5.0.4 Newtonsche Gesetze
Die vier Gesetze von Isaac Newton
Der englische Naturforscher Isaac Newton (1642 – 1726) war einer der bedeutendsten Wissenschaftler aller Zeiten. Unter anderem formulierte er die Newtonschen Gesetze der Mechanik. Darin geht es um Kräfte und Bewegungen – genau unser Thema.
|
Ein Körper verharrt im Zustand der Ruhe oder der gleichförmig geradlinigen Bewegung, sofern jener nicht durch einwirkende Kräfte zur Änderung seines Zustands gezwungen wird.
|
|
|
Die Änderung der Bewegung ist der Einwirkung der bewegenden Kraft proportional und geschieht nach der Richtung derjenigen geraden Linie, nach welcher jene Kraft wirkt.
|
|
|
Kräfte treten immer paarweise auf. Übt ein Körper A auf einen anderen Körper B eine Kraft aus (actio), so wirkt eine gleich große, aber entgegen gerichtete Kraft von Körper B auf Körper A (reactio).
|
|
|
Wirken auf einen Punkt (oder einen starren Körper) mehrere Kräfte, so addieren sich diese vektoriell zu einer resultierenden Kraft auf.
|
5.0.5 Physikalische Eigenschaften der Atmosphäre
Physical characteristics of the atmosphere
Die Atmosphäre und ihre Eigenschaften für die Luftfahrt
(78 Vol.-% Stickstoff, 21 % Sauerstoff, Rest Edelgase und Kohlendioxid, zusätzlich Wasserdampf)
(Troposphäre, Tropopause, Stratosphäre ...)
sind für Aerodynamik und Flugmechanik ohne Belang.
Wichtig sind der Luftdruck p, die Luftdichte ρ und die kinematische Zähigkeit ν.
Diese Eigenschaften ändern sich mit der Höhe, wobei zusätzlich eine Abhängigkeit von der vertikalen Temperaturverteilung besteht.
Um eine einheitliche Temperaturverteilung zu haben, wurde die vertikale Temperaturverteilung standardisiert (ICAO-Normatmosphäre):
|
Luftdruck p:
|
p0 = 1013,2 hPa | ← Standardwert in Meereshöhe → | 100 % |
| Höhe 2000 m → | 78 % | ||
| 1 Pa (Pascal) = 1 N/m² ist die Einheit des Drucks | 4000 m → |
61 % | |
| 1013,2 hPa » 0,1 N/mm² » 1 kp/cm² » 1 Atm | 6000 m → | 47 % | |
|
8000 m →
|
34 %
|
||
|
Luftdichte ρ:
|
ρ0 = 1,225 kg/m³
|
← Standardwert in Meereshöhe →
|
100 %
|
|
Höhe 2000 m →
|
82 %
|
||
|
4000 m →
|
67 %
|
||
|
6000 m →
|
54 %
|
||
|
8000 m →
|
43 %
|
||
| kinematische Zähigkeit ν: |
ν0 = 1,46 · 10-5 m²/s | ← Standardwert in Meereshöhe → | 100 % |
|
Höhe 2000 m →
|
117 %
|
||
|
4000 m →
|
139 %
|
||
|
6000 m →
|
165 %
|
||
|
8000 m →
|
199 %
|
||
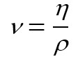
Die Zähigkeit (Viskosität) eines Gases (oder einer Flüssigkeit) beschreibt seine Fließfähigkeit. Je größer die Zähigkeit, desto schlechter fließt es. Dahinter steckt die innere Reibung, die sich aus den Anziehungskräften zwischen den Gasteilchen ergibt. Diese Zähigkeit ist für einen großen Teil des Widerstands unserer Flugzeuge verantwortlich.
Wir müssen zwischen der dynamische Zähigkeit η, die in Pa·s gemessen wird, und der kinematischen Zähigkeit ν unterscheiden.
|
|
mit V: Strömungsgeschwindigkeit
l: Bezugslänge (z. B. Profiltiefe)
|
5.0.6 Aufbau eines Segelflugzeugs
Das Segelflugzeug: Hauptbestandteile, Spannweite, Flügelstreckung und -tiefe
Wenn ein Segelflugzeug aus dem Transportanhänger gezogen wird, weil es aufgerüstet werden soll, dann erkennst du, dass es im Wesentlichen aus drei Teilen besteht:
- Rumpf mit Seitenleitwerk
- Flügel, bestehend aus linker und rechter Flügelhälfte, mit Querrudern und Luftbremsen
(Statt Flügelhälfte sagt man meistens bloß Flügel oder Tragfläche.) - Höhenleitwerk
Der Abstand von Flügelspitze zu Flügelspitze wird als Spannweite b bezeichnet. Die meisten einsitzigen Segelflugzeuge haben eine Spannweite von 15 Metern. Andere Einsitzer und fast alle Doppelsitzer haben eine größere Spannweite, manchmal bis zu 30 Metern.
In Abb. 5.0.6.1 (Aufbau eines Segelflugzeugs) erkennst du hellgrün markiert die Flügelfläche S. Dies ist der Flächeninhalt des Flügelumrisses, einschließlich der vom Rumpf abgedeckten Fläche. Flügelflächen von Segelflugzeugen liegen etwa zwischen 9 m² und 20 m².
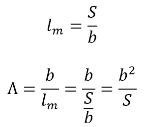
Die Flügelstreckung beschreibt die Schlankheit eines Flügels. Man sagt auch Seitenverhältnis dazu. Segelflugzeuge mit guten Flugleistungen haben eine große Flügelstreckung.
Die Flügelstreckung λ ist das Verhältnis zwischen der Spannweite und der mittleren Flügeltiefe. λ ist also eine dimensionslose Größe.
Die Flügeltiefe l ist die Breite des Flügelgrundrisses. Sie nimmt zur Spitze hinab. Die mittlere Flügeltiefe lm ergibt sich aus dem Quotienten aus Flügelfläche S und Spannweite b.
Also können wir schreiben: 
Wie du siehst, braucht die mittlere Flügeltiefe lm gar nicht bekannt zu sein, und du wirst sie auch in den wenigsten Datenblättern finden. Wenn du dich trotzdem dafür interessierst, kannst du sie ja aus S und b berechnen.
Die ASK 21 hat eine Spannweite b = 17 m und eine Flügelfläche S = 17,95 m². Du rechnest:
![]()
Und ihre mittlere Flügeltiefe ist Ιm = 1,06 m
In Abb. 5.0.6.1 (Aufbau eines Segelflugzeugs) siehst du, dass die Flügelhälften rechts und links leicht nach oben weisen. Dies ist die V-Stellung des Flügels. Sie wird mit dem Winkel ν angegeben. So gut wie alle Segelflugzeuge haben eine V-Stellung, denn damit fliegt ein Flugzeug stabiler (wird in Kapitel 5.3 erläutert), und bei Start und Landung ist der größere Abstand zwischen Flügelspitze und Boden oft nützlich.
Anker: Einheiten = gdfein1; Kräfte = gdfein2; Momente = gdfein3; Newtonsche = gdfein4; Eigenschaften Atmosphäre = gdfein5; Aufbau Segler = gdfein6
xxxxxxxx












