7.2.3 Der Endanflug
Wie berechne ich einen Endanflug, welche Faktoren müssen berücksichtigt werden, welche Hilfsmittel gibt es?
Der Endanflug ist wie folgt gegliedert:
- Allgemeines
- 7.2.3.1 Endanflug ohne Wind
- 7.2.3.2 Endanflug mit Wind
- 7.2.3.3 Endanflugtabelle
- 7.2.3.4 Endanflugrechnersysteme
- 7.2.3.5 Überlandflug mit Motorunterstützung (nicht TMG)
- 7.2.3.6 Endanflug vom letzten Aufwind
Allgemeines
Analoge Endanflugrechenschieber und elektronische Endanflugrechner, welche Daten liefern sie?
Streckensegelflieger benutzen während eines Überlandfluges GPS-basierte Navigationssysteme i.d.R. in Kombination mit Endanflugrechnern. Das können Bordcomputer sein, es können aber auch mobile Endgeräte wie z.B. ein Smartphone mit entsprechenden Apps sein. Sie haben mit der immer fortschreitenden Entwicklung die früher üblichen Endanflugrechenschieber und später die elektronische Variante dazu abgelöst
|
Endanflugrechenschieber Holtkamp mit der Einlegezunge für eine Standard Libelle |
Beispiel eines älteren Endanflugrechners (hier "Zanderrechner") |
Die Erfindung des GPS ist nach dem Variometer wohl die beste Erfindung für Segelflieger. Allerdings bedarf die Verwendung der Bordcomputer eines gewissen Trainings, und du sollst dich zunächst mit solch einem Gerät am Boden vertraut machen, um nicht während des Fluges zu viel Aufmerksamkeit zur Bedienung zu benötigen.
GPS-basierte Navigationssysteme sind ein ideales Hilfsmittel zur Navigation und zur Berechnung des Endanflugs. Sie zeigen dir u.a.:
- deine Position;
- die Linie, die du gerade fliegst (TRK = Track) und die Linie, die du fliegen solltest (BRG = Bearing);
- die Höhe über NN / über Grund / über dem Ziel;
- die Geschwindigkeit über Grund;
- die genaue Entfernung zu einem ausgewählten Punkt (z.B. Flugplatz, sehr wichtig für die Berechnung des Endanfluges)
Die Überlandaufgabe gibst du vor dem Flug in das Navigationssystem ein, damit du für Einstellungen nicht zu sehr abgelenkt wirst.
7.2.3.1 Endanflug ohne Wind
Berechnung der benötigten Höhe für eine gegebene Entfernung bzw. der erreichbaren Entfernung aus einer gegebenen Höhe
Ein Endanflugrechner soll dir helfen die Reisegeschwindigkeit vom letzten Aufwind bis hin zum Zielflugplatz zu optimieren.
Beim Gleitflug von einem Aufwind zum nächsten wird die optimale Geschwindigkeit auf der Grundlage des erwarteten Steigens im nächsten Aufwind bestimmt. Im Endanflug ist das aktuelle, letzte Steigen ausschlaggebend für die Wahl der Fluggeschwindigkeit. Hier sollst du so weit steigen, bis du mit der Sollfahrtgeschwindigkeit des letzten Aufwinds dein Ziel erreichen kannst. Wenn du im Endanflug-Aufwind z.B. mit 3 m/s steigst, steige weiter bis auf eine Höhe, mit der du dein Ziel mit MacCready-Ring-Einstellung +x3xm/s und der dazugehörigen Vorfluggeschwindigkeit erreichen kannst.
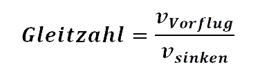
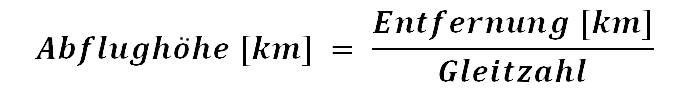
Die benötigte Höhe kann mit Hilfe der Geschwindigkeitspolare deines Segelflugzeugs ermittelt werden, indem die Gleitzahl zum MacCready-Wert abgelesen wird. Daraus kannst du dann deine Abflughöhe berechnen:
![]()
Da das Ablesen der Gleitzahl aus einer Geschwindigkeitspolare im Flug kaum machbar ist, wäre eine Tabelle mit den MacCready-Werten und dazu gehörenden Gleitzahlen als Endanflugtabelle sehr hilfreich.
Die erreichbare Entfernung kann ebenfalls berechnet werden:
![]()
7.2.3.2 Endanflug mit Wind
Berechnung der benötigten Höhe für eine gegebene Entfernung bzw. der erreichbaren Entfernung aus einer gegebenen Höhe
In der Praxis gibt es im Regelfall eine Windkomponente. Das bedeutet, dass der Endanflug durch deine Windabtrift beeinflusst wird. Die Höhe, die für einen Endanflug aus dem letzten Aufwind benötigt wird, kann also größer oder kleiner sein als ohne Windeinfluss. Es muss also die Windkomponente bei der Gleitzahlberechnung berücksichtigt werden.
Die Gleitzahl in ruhiger Luft wird wie folgt ermittelt (alle Geschwindigkeiten in m/s):

Die Gleitzahl mit Windeinfluss berechnet sich hingegen wie folgt (alle Geschwindigkeiten in m/s):

7.2.3.3 Endanflugtabelle
Beispieltabelle für eine LS 4 ohne Wasserballast, Formel zur Berechnung der Windkomponente
Hier ist ein Beispiel für eine solche Tabelle für eine LS 4 ohne Wasserballast.
Die Sinkgeschwindigkeiten bei den verschiedenen Vorfluggeschwindigkeiten entstammen der Geschwindigkeitspolare. Wie Du das tust, ist am Anfang dieses Kapitels beschrieben.
In der oberen Tabellenhälfte ist die Gleitzahl zu verschiedenen MacCready-Ringeinstellungen und Windgeschwindigkeiten eingetragen, in der unteren die erforderliche Höhe in Metern pro Kilometer Strecke.
Endanflugtabelle LS 4 ohne Wasserballast
Du solltest Endanflüge am Heimatflugplatz üben. Die Entfernung zum Flugplatz kann du einem Navigationssystem, Endanflugrechner oder einer Karte entnehmen. Ein bewährtes Hilfsmittel ist dabei, sich mit einem Zirkel Kreise mit den Radien 5, 10, 15, 20, 25, 30 km um den Heimatflugplatz in die Karte zu zeichnen. So kannst du schnell sehen, wie weit du von deinem Flugplatz entfernt bist. Wenn du dir diesen Teil aus einer (alten) ICAO-Karte ausschneidest und bei lokalen Flügen mitnimmst, kannst du den Endanflug regelmäßig üben, auch um ein Gefühl dafür zu bekommen wie du die Anzeige des Endanflugrechners interpretieren kannst. Denke dabei daran, dass du die Entfernung von der Stelle bestimmen musst, an der du die Thermik verlässt, da du während dem Steigen vom Wind versetzt wirst. Stelle dabei auch sicher, dass du genügend Höhenreserve einplanst. Die Windkomponente kann wie folgt berechnet werden:
![]()
7.2.3.4 Endanflugrechnersysteme
Verwendung von Bordcomputern und Mobiltelefonen mit Endanflugrechnerfunktionen
|
Beispiel eines Navigationssystems für Mobiltelefone mit Endanflugrechnerfunktion.
(Quelle: iGlide-Beschreibung im iPhone-Appstore) |
Das zugrundeliegende Berechnungsprinzip ist bei all diesen Werkzeugen gleich: mit der errechneten Gleitzahl kann auf einfache Weise die erforderliche Höhe zum Ziel berechnet werden. Bei vielen modernen Segelflugzeug-Bord-computern wird mit Hilfe der GPS-Daten und der Geschwindigkeit die zurückgelegte Strecke vom Beginn des Endanfluges an genau verfolgt. Die Ankunftshöhe am Ziel wird kontinuierlich angezeigt. So ist es möglich, während des Endanfluges den aktuellen Gleitpfad (Höhen-Strecken-Verlauf) kontinuierlich mit dem berechneten optimalen Gleitpfad zu vergleichen. Bei Bedarf kann der Endanflug an die Gegebenheiten angepasst werden. Ohne großen Aufwand kann der Computer auch eine gewünschte Reservehöhe berücksichtigen, mit der laut Berechnung das Ziel erreicht werden wird. Bei älteren Endanflugrechnern musste diese zusätzliche Höhe separat zur berechneten Höhe addiert werden. Bei modernen Flugcomputern stehen oft noch eine Vielzahl weiterer Optionen zur besseren Berechnung des idealen Gleitpfades zur Verfügung, wie z.B. die Einstellung der korrekten Winddaten, der Flächenbelastung und oft auch eine geschätzte Profilverschlechterung durch Insekten. |
7.2.3.5 Überlandflug mit Motorunterstützung
Anwendung der Sägezahnmethode zur Überwindung von Strecken ohne ausreichende Thermik
Mit Motorseglern (also motorisierten Segelflugzeugen mit Klapptriebwerk oder elektrischem Antrieb wie z.B. FES – aber keine TMG) können Strecken auch ohne ausreichende Thermik per Motor überwunden werden. Sofern der Antrieb durch einen Verbrennungsmotor erfolgt, ist es üblicherweise zweckmäßig für längere Strecken die sogenannte „Sägezahnmethode“ anzuwenden.
Dabei steigst du mit ausgefahrenem Triebwerk auf die Zielhöhe, stellst dann das Triebwerk ab und fährst es ein, um die weitere Strecke im Gleitflug zu machen. Sollte es nicht bis zur nächsten Thermik oder dem Heimatflugplatz reichen fährst du den Motor wieder aus, um Höhe für den nächsten Gleitabschnitt zu gewinnen usw.
7.2.3.6 Endanflug vom letzten Aufwind
Beispiel für einen Endanflug einer LS 4 ohne Wasserballast
Das folgende Bild zeigt ein Beispiel für einen Endanflug einer LS 4 ohne Wasserballast:
Das Segelflugzeug befindet sich in einem Aufwind mit einem Steigen von 3 m/s in einer Höhe von 800 m und 30 km vom Heimatflugplatz entfernt.
Der Gegenwind beträgt 20 km/h. Das Segelflugzeug steigt in der Thermik bis auf 1500 m.
Durch Windversatz ist das Flugzeug dann 31 km vom Flugplatz entfernt. Laut der Endanflugtabelle kann mit einer MC-Einstellung von 3 m/s und einer Vorfluggeschwindigkeit von 150 km/h zum Flugplatz geflogen werden. Die Geschwindigkeit über Grund beträgt dann 130 km/h (150 km/h – 20 km/h Wind).
Laut Tabelle beträgt die Gleitzahl relativ zum Boden bei einem Gegenwind von 20 km/h 24. Es können aus 1500xm also 1,5 km x 24 = 36 km zurückgelegt werden. Für die 31 km Entfernung werden 31 km x 42 m/km = 1302 m Höhe benötigt (der Höhenverlust pro Kilometer beträgt beim aktuellen Wind 42xm laut Tabelle). Es sind also ca. 200 m Reserve übrig.
Während des Endanfluges wird ein paar Mal der Gleitpfad überprüft. In 20 km Entfernung hat das Flugzeug noch 1100 m Höhe für 20,7 km. Es ist hoch genug, denn 20 km x 42 m/km = 840 m. Plus 200 m Reserve ergibt das 1040 m. Es kann dadurch etwas schneller geflogen werden. Wenn sich im Endanflug herausstellt, dass man zu tief ist, dreht man die MacCready-Einstellung zurück und fliegt langsamer. Wenn mehr Höhe übrig ist, kann man das Gegenteil tun.
Endanflug (mit freundlicher Genehmigung Tobias Barth Photographie)
Auch während des Endanfluges kann im „Delfinstil“ geflogen werden. Im Steigen fliegt man etwas langsamer und im Sinken etwas schneller. Dieses Auf und Ab in der Flugbahn ähnelt der Vorwärtsbewegung eines Delfins im Wasser, daher der Name. Der Endanflug ist selten nur ein gerades Abgleiten.
Mit einem Endanflugrechner kannst du zu jedem Zeitpunkt des Endanfluges sehen, ob du schneller oder langsamer fliegen solltest. Wenn du die MacCready-Einstellung erhöhst, berechnet der Computer, wie viel Höhe du für deinen Endanflug benötigst. Wenn du laut Höhenmesser genügend Höhe hast, kannst du mit der erhöhten Einstellung fliegen. Ist das Flugzeug bereits tiefer als die benötigte Höhe, kann das Ziel nicht in einer sicheren Höhe erreicht werden und es sollte eine niedrigere MacCready-Einstellung gewählt werden.
Anker: Allgemeines = Endan0; Ohne Wind = Endan1; mit Wind = Endan2; Tabelle = Endan3; Rechner = Endan4; Flug mit Mot = Endanmot; Letz Aufwind = Endan6
xxxx




